Terpopuler 26+ Golongan Antibiotik Farmakologi
Poin pembahasan Terpopuler 26+ Golongan Antibiotik Farmakologi adalah :

Antibiotik Pharmacy Care Sumber : www.mipa-farmasi.com

Obat Golongan Antibiotik Quinolon Sumber : www.scribd.com

Catatan OGES 2 NOBODY S PERFECT Sumber : nurulfajrymaulida.blogspot.com

farmakologi antibiotik dan anti jamur Sumber : es.slideshare.net

Farmakologi penggolongan antibiotik Sumber : www.slideshare.net

Pengelompokan dan pengenalan golongan antibiotik Sumber : www.slideshare.net

farmakologi antibiotik dan anti jamur Sumber : es.slideshare.net

GOLONGAN OBAT ANTIBIOTIK Sumber : www.scribd.com

Pengelompokan dan pengenalan golongan antibiotik Sumber : www.slideshare.net

Farmakologi Antibiotik Beta Laktam Wikibuku bahasa Indonesia Sumber : id.wikibooks.org

Farmakologi penggolongan antibiotik Sumber : es.slideshare.net
tabel golongan antibiotik, penggolongan antibiotik pdf, golongan antibiotik dan turunannya, penggolongan antibiotik ppt, penggolongan antibiotik berdasarkan spektrum kerja pdf, pengertian antibiotik dan penggolongannya, penggolongan antibiotik berdasarkan mekanisme kerja, golongan monobaktam,

Percobaan 2 Identifikasi Golongan Antibiotik Sumber : www.scribd.com

Pengelompokan dan pengenalan golongan antibiotik Sumber : www.slideshare.net

Penggolongan antibiotik Sumber : www.scribd.com

Farmakologi obat kanker 2020 Sumber : www.slideshare.net
tabel golongan antibiotik, penggolongan antibiotik pdf, golongan antibiotik dan turunannya, penggolongan antibiotik ppt, penggolongan antibiotik berdasarkan spektrum kerja pdf, pengertian antibiotik dan penggolongannya, penggolongan antibiotik berdasarkan mekanisme kerja, golongan monobaktam,

Antibiotik Pharmacy Care Sumber : www.mipa-farmasi.com
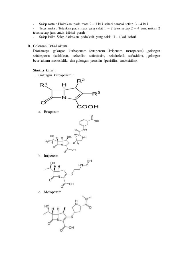
Farmakologi Antibiotik Beta Laktam Wikibuku bahasa Indonesia
Antibiotik beta laktam terdiri dari berbagai golongan obat yang mempunyai struktur cincin beta laktam yaitu penisilin sefalosporin monobaktam karbapenem dan inhibitor beta laktamase Obat obat antibiotik beta laktam umumnya bersifat bakterisid dan sebagian besar efektif terhadap organisme Gram positif dan negatif Antibiotik beta laktam mengganggu sintesis dinding sel bakteri dengan
Obat Golongan Antibiotik Quinolon Sumber : www.scribd.com
Farmakologi penggolongan antibiotik
03 11 2020 Farmakologi penggolongan antibiotik 1 Nama Tanzil Ali maftukh NIM 1304000032 DIII Perekam medis dan Informasi Kesehatan Politeknik Kesehatan Kemenkes Malang PENGGOLONGAN ANTIBIOTIK Antibiotik adalah zat yang dihasilkan oleh fungi dan bakteri yang memiliki khasiat membunuh atau menghambat pertumbuhan kuman sedangkan toksisitasnya

Catatan OGES 2 NOBODY S PERFECT Sumber : nurulfajrymaulida.blogspot.com
Farmakologi Antibiotika Apoteker 2020
ANTIBIOTIKA Definisi Antibiotika Vuillemin 1889 Antibiotik sebagai senyawa aktif yang dihasilkan MO hidup untuk memusnahkan MO lain untuk memperjuangkan kelangsungan hidupnya Turpin dan Velu 1957 Antibiotik adalah semua senyawa kimia yang dihasilkan oleh organisme hidup atau yang diperoleh melalui sintesis yang memiliki indeks khemoterapi tinggi yang manifestasi aktivitasnya

farmakologi antibiotik dan anti jamur Sumber : es.slideshare.net
MAKALAH TENTANG ANTIBIOTIK KATUMBU
Farmakologi merupakan ilmu yang sangat luas cakupannya Namun unutk seorang dokter ilmu ini dibatasi tujuannya yaitu agar dapat menggunakan obat untuk maksud pencegahan diagnosis dan pengobatan penyakit Golongan golongan obat antibiotik C Tujuan Adapun tujuan kami membuat makalh ini adalah

Farmakologi penggolongan antibiotik Sumber : www.slideshare.net
LAPORAN FARMAKOLOGI ANTIBIOTIK Karya Tulis Ilmiah
09 06 2020 LAPORAN FARMAKOLOGI ANTIBIOTIK DEFINISI ANTIBIOTIKA Antibiotika adalah zat zat kimia yang dihasilkan oleh fungi dan bakteri yang memiliki khasiat mematikan atau menghambat pertumbuhan kuman PRINSIP UMUM PENGGUNAAN Antibiotika digunakan untuk mengobati berbagai jenis infeksi akibat kuman atau juga untuk prevensi infeksi misalnya pada pembedahan besar

Pengelompokan dan pengenalan golongan antibiotik Sumber : www.slideshare.net
Nissa Anagh Uchil FARMAKOLOGI ANTIBIOTIK
26 03 2020 Penggunaan antibiotik yang tidak tepat di rumah sakit banyak terjadi seperti belum jelas penyebab penyakit diagnosis belum jelas pemilihan yang hanya didasarkan pada pengalaman tanpa didukung bukti ilmiah cara pemberian yang kurang tepat frekuensi dan lama pemberian yang kurang atau justru berlebihan dan seringnya antibiotik diganti dengan antibiotik lain yang berbeda khasiat

farmakologi antibiotik dan anti jamur Sumber : es.slideshare.net
GOLONGAN OBAT ANTIBIOTIK Sumber : www.scribd.com
Pengelompokan dan pengenalan golongan antibiotik Sumber : www.slideshare.net
Farmakologi Antibiotik Beta Laktam Wikibuku bahasa Indonesia Sumber : id.wikibooks.org

Farmakologi penggolongan antibiotik Sumber : es.slideshare.net
tabel golongan antibiotik, penggolongan antibiotik pdf, golongan antibiotik dan turunannya, penggolongan antibiotik ppt, penggolongan antibiotik berdasarkan spektrum kerja pdf, pengertian antibiotik dan penggolongannya, penggolongan antibiotik berdasarkan mekanisme kerja, golongan monobaktam,
Percobaan 2 Identifikasi Golongan Antibiotik Sumber : www.scribd.com

Pengelompokan dan pengenalan golongan antibiotik Sumber : www.slideshare.net
Penggolongan antibiotik Sumber : www.scribd.com

Farmakologi obat kanker 2020 Sumber : www.slideshare.net
0 Comments